丽水中考

3773考试网2016中考丽水中考正文

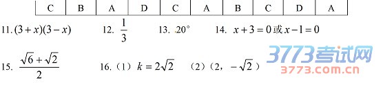
[组图]2015丽水中考数学答案发布

来源:2exam.com 2015-6-16 11:53:55

公布丽水中考试题、答案和中考作文。祝各位考生都能取得好的成绩。2015年浙江丽水中考数学试题答案: 

触屏版 电脑版
3773考试网 琼ICP备12003406号-1