宁波中考

3773考试网2016中考宁波中考正文

[图文]余姚市教育局关于2014年余姚中学招生工作的实施意见

来源:2exam.com 2014-5-9 14:50:14

余姚中学、各乡镇(街道)教辅室、初中、高风中学、实验学校、姚北实验学校、瑞云学校:

为全面实施素质教育,积极落实新课程改革,切实抓好优秀学生的培养工作,进而提高我市教育整体水平。经研究,现就2014年余姚中学招生工作提出如下实施意见。
一、招生计划

根据余姚市教育事业计划,2014年余姚中学计划招生12个班共480人。其中:提前自主招生名额为300人;根据中考结果,按校切块分配名额(包括体育特长生)为180名。

二、招生范围

所有批次招收的学生都应符合普通高中报考条件的应届初中毕业生。

三、实施办法

余姚中学招生分自主招生与中考后统一招生两种形式。

(一)       自主招生

自主招生分“宜张创新班”招生与保送生招生两部分。

第一类:“宜张创新教学班”招生。招生名额为80名,已经提前于2013学年第一学期期末完成招生工作。

第二类:保送生招生。招生名额为200名,计划于20145月份下旬完成招生工作。

1、保送生测试推荐名额确定。根据初中学校办学规模、前三年学校向余姚中学输送学生人数和学生后续发展情况由余姚中学初定各初中推荐名额,报市教育局审定后下达到各初中学校。

2、保送生测试推荐条件。学生志向远大、品学兼优、心态阳光,综合素质评价达到1A3P及以上。

被推荐学生的文化课总成绩按(参照中考科目)以下办法计算:初一两次期末考试成绩总和占百分之二十、初二两次末考试成绩总和占百分之三十、初三第一学期期末考试成绩总和占百分之五十。

3保送生测试推荐程序。⑴凡符合推荐条件的学生,必须经本人申请、家长同意后,由班主任会同任课教师,在听取班委会意见的基础上提出候选人名单,经校长办公会议讨论,确定推荐保送的学生名单;⑵学校将被推荐的学生名单及基本情况在校内张榜公示三天,接受广大师生、家长和社会的监督;⑶教育局基础教育科对保送生进行资格审查,对不符合条件的学生,一律退回,所缺名额不作递补。

4、测试科目

各校推荐的保送生须参加2014525日余姚中学组织的文化课测试。文化课测试内容为文科综合(包含语文与英语)与理科综合(包含数学与科学)两大科目,上述两科测试试题卷面设置分值均为150分。

每位考生的卷面成绩出来后都将折合成 “考生文化测试最终认定成绩”(以下简称认定成绩)。认定成绩的折合办法为:文科卷面成绩×1+理科卷面成绩×1.3。并以认定成绩作为最后录取的依据。

5、录取批次

第一批:按认定成绩择优录取110名。保证农村、山区初中新生的比率不少于20%

第二批:按市中招办切块分配到校的相关政策,按校分配录取名额90名。录取以分配名额及区域控制分数线为必要条件。城区初中(不包含世南中学、舜江中学、瑞云学校)控制分数线为第一批录取后余下考生中第90名考生的认定成绩;农村初中控制分数线为城区初中控制分数线下调20分;山区初中控制分数线为城区初中控制分数线下调25分。

6.其他说明

凡在符合推荐基本条件的前提下,满足下列条件之一的,可不受初中期间文化课平时成绩的限制而直接参加本次保送生的文化课测试,并享受与其他参考学生同等待遇。

1)在初中期间获得全国信息学奥林匹克联赛浙江赛区普及组三等奖及以上者;

2)在初中期间参加全国创新大赛的一等奖获得者;

3)在初三期间参加市教育学会组织的数学竞赛的一等奖获得者。

第三类:余姚中学直接录取,名额20名(简称直录生)。根据余姚中学直录生录取办法于20145月底之前完成录取。

(二)中考统一招生

中考后招生(包括体育特长生,不超过6人)共180名。按中招办招生分配政策,把除掉体育特长生后的所有名额统一分配到各初中,进行一次性录取。

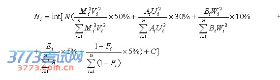
名额分配的具体计算公式为:

    说明:Ni指第i初中当年分配名额数;

          N指全市分配名额总数;

          Vi指第i初中应届初中毕业生人数;

          Mi指第i初中教育教学工作等级折合分;

          Ui指第i初中毕业生学业考试成绩合格率;

          Ai指第i初中毕业生学业考试成绩合格人数;

          Bi指第i初中毕业生学业考试成绩优秀人数;

          Wi指第i初中毕业生学业考试成绩的优秀率;

          Ei指第i初中上年升学率;

          Fi指第i初中毕业生中学业考试成绩为全市后20%的人数比例;

          C 为修正值 0 C 1,使全市分配名额四舍五入后的总和为N

    决定一所初中分配名额的计算方法分五方面:

    第一、决定于该校应届初中毕业生人数、考核等级折合分,权重为50%

    第二、决定于该校应届初中毕业生学业考试成绩合格人数和合格率,权重为30%

    第三、决定于该校应届初中毕业生学业考试成绩优秀人数和优秀率,权重为10%

    第四、决定于该校上一年应届初中毕业生升入高中段学校的人数比例,权重为5%

    第五、决定于该校应届初中毕业生中学业考试成绩为全市后20%的人数比例,权重为5%

各区域录取控制线划定办法为:以180人减去实际招收的体育特长生数的余额为基准数,在全市报有余姚中学志愿的学生中,按中考分数从高到低划出城区初中录取的最低控制线,进而确定农村平原初中、山区初中的录取控制线。农村平原初中、山区初中的录取控制线分别在城区初中录取控制线的基础上降10分、20分。

四、几点要求

(一)余姚中学招生工作是我市高中段招生工作的重要组成部分,关系着高中段招生考试与招生工作改革能否顺利推进。这项工作政策性强,涉及面广,关系到学生切身利益,备受社会各界关注。各初中学校务必高度重视,将有关政策及时、准确地传达到广大教师、学生、家长,积极主动地做好宣传和推荐工作。

(二)各校在推荐自主招生参考学生时,要根据条件择优推荐,保证把优秀的毕业生推荐到余姚中学。要依照自下而上的工作程序,做到公开、公平、公正,增强工作的透明度,在上报名单前必须进行校内公示。杜绝不正之风,对在推荐工作中弄虚作假、徇私舞弊的,一经查实,追究学校领导和有关人员的责任,取消有关学生的推荐资格,减少相关初中下次推荐名额。

(三)在余姚中学保送生推荐录取工作中,推荐名额一经确定,各初中学校不得以各种理由追加名额。坚决杜绝不符合提前招生推荐条件的人员以“测试生”的身份参加文化课测试。

     

                            余姚市教育局

                            2014年5月4

触屏版 电脑版
3773考试网 琼ICP备12003406号-1