宁波中考

3773考试网2016中考宁波中考正文

2013余姚市高中招生录取政策方案

来源:余姚市教育局 2013-4-15 13:20:58

(一)录取原则
各类招生学校根据招生计划,按考生所填报志愿的顺序,以德、智、体全面衡量,语文、数学、自然、英语、社会政治、体育六科总分从高分到低分择优录取。被授予市级及以上三好生、优秀学生干部的考生在同等条件优先录取。普通高中在同批次志愿录取时,录取学校要录取第二、第三志愿考生时,必须在考生第二总分中分别减去3分、6分予以投档。各类学校必须严格按市政府下达的事业计划招足新生,不得以种种借口拒绝上线考生。
(二)录取顺序
学业考试后高中段招生的录取顺序为:余姚中学——姚中书院、市四中、高风中学全部,市三中、五中、七中、八中部分自主招生和职业高中部分自主招生——其他普职高、中专、技校。
(三)录取办法
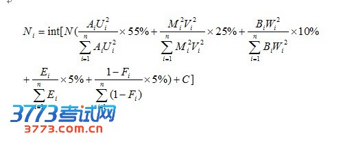
1.除自主招生之外的余姚中学所有招生计划生在其他各类招生学校录取前,一次性录取完毕。余姚中学招生按分配方案全部切块到各初中,名额分配的计算公式为:
 

    说明:Ni指第i初中当年分配名额数;
          N指全市分配名额总数(余姚中学自主招生后剩余的计划数与被录取在宁波市其他9所首批省一级重点普高中的余姚初三毕业生之和);
          Vi指第i初中应届初中毕业生人数;
          Mi指第i初中教育教学工作等级折合分;
          Ui指第i初中毕业生学业考试成绩合格率;
          Ai指第i初中毕业生学业考试成绩合格人数;
          Bi指第i初中毕业生学业考试成绩优秀人数;
          Wi指第i初中毕业生学业考试成绩的优秀率;
          Ei指第i初中上年升学率;
          Fi指第i初中毕业生中学业考试成绩为全市后20%的人数比例;
          C 为修正值 0 ≤ C < 1,使全市分配名额四舍五入后的总和为N。
    决定一所初中分配名额的计算方法分五方面:
    第一、决定于该校应届初中毕业生学业考试成绩合格人数和合格率,权重为55%。
    第二、决定于该校应届初中毕业生人数、考核等级折合分,权重为25%。
    第三、决定于该校应届初中毕业生学业考试成绩优秀人数和优秀率,权重为10%。
    第四、决定于该校上一年应届初中毕业生升入高中段学校的人数比例,权重为5%。
    第五、决定于该校应届初中毕业生中学业考试成绩为全市后20%的人数比例,权重为5%。
2.姚中书院、市四中、高风中学的招生、三中、五中、七中和八中的部分自主招生均采用不报志愿、考生与学校双向选择、学校提前录取的办法,即考生可在规定时间内,凭中考分数卡直接与学校联系录取事宜,由学校确定是否录取。招生学校必须按招生办法进行录取,直至录满计划数为止。部分职业高中的自主招生,考生可待中考结束后凭准考证直接到有关学校报名,由学校和考生双向选择,提前录取。考生一经被录取,不再填报其他学校志愿或已填志愿作自动放弃论。
3.其他普高和职高的录取:根据考生的志愿,普、职高分别投档,由市中招办划定最低录取分数线,择优录取,一次性取足招生计划数为止。
4.允许普通高中学校招收体育特长生。每所普通高中学校招收的体育特长生人数不超过6人,所招收的特长生除文化课成绩必须达到规定的要求外,同时必须符合以下条件:一是初中三年中曾经获得过余姚市级及以上教育行政部门组织的各类体育竞赛个人项目前三名或团体单项项目前六名(主力队员);二是获奖项目必须是招生学校体育集训队当年组队所缺的项目。
5.幼师、中专、技校的录取工作由市高招办具体实施。
6.思想品德不合格者或中学生体质健康标准不合格者(身体残疾等特殊情况除外)或未参加体育考试者,高中段学校原则上不予录取。被余姚中学、市二中、市三中、市五中、市七中和市八中自主录取的考生其综合素质评价必须达到1A3P及以上。
7.民办学校(四中、高风中学、姚中书院)原则上不得招收低于本市公办普通高中最低分数线15分的考生。
8.高中段招生中有关加分的规定另行发文,各类加分对象必须填写《余姚市2013年中招加分考生登记表》,并提供原始证件和复印件,报市中招办审定核准。
七、档案材料
高中段招生档案主要包括:毕业生登记表、体格检查表、中学生体质健康标准登记表、学生综合素质测评情况登记表等。考生档案由各初中负责组织填写、整理。考生情况登记表由各初中填写后,连同体格检查表集体上交市中招办,其他档案材料由各初中保存备用。

触屏版 电脑版
3773考试网 琼ICP备12003406号-1