武汉中考

3773考试网2016中考武汉中考正文

[组图]2016武汉中考高中学校招录分配生候选名单汇总表

来源:武汉市招生考试办 2016-5-10 8:46:49

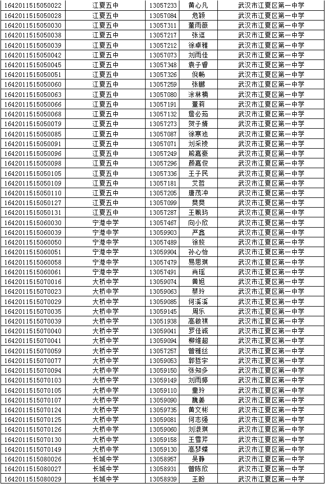
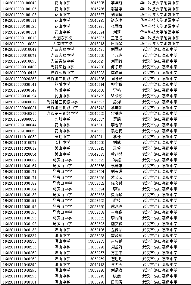
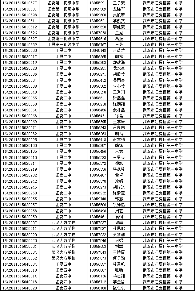
武汉市2016年部分普通高中学校招录分配生候选名单汇总表3

106.png

107.png

108.png

109.png

110.png

111.png

112.png

113.png

114.png

115.png

116.png

117.png

118.png

119.png

120.png

121.png

122.png

123.png

124.png

125.png

126.png

127.png

128.png

129.png

130.png

131.png

132.png

133.png

134.png

135.png

136.png

137.png

138.png

139.png

140.png

141.png

142.png

143.png

144.png

145.png

146.png

147.png

148.png

149.png

150.png

151.png

152.png

153.png

154.png

155.png

156.png

157.png

158.png

159.png

 

[1] [2] [3] 下一页

触屏版 电脑版
3773考试网 琼ICP备12003406号-1