遵义中考

3773考试网2016中考遵义中考正文

[组图]2015遵义中考数学试题及答案免费发布

来源:2exam.com 2015-6-15 20:33:09

 

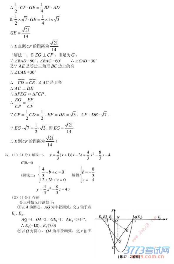
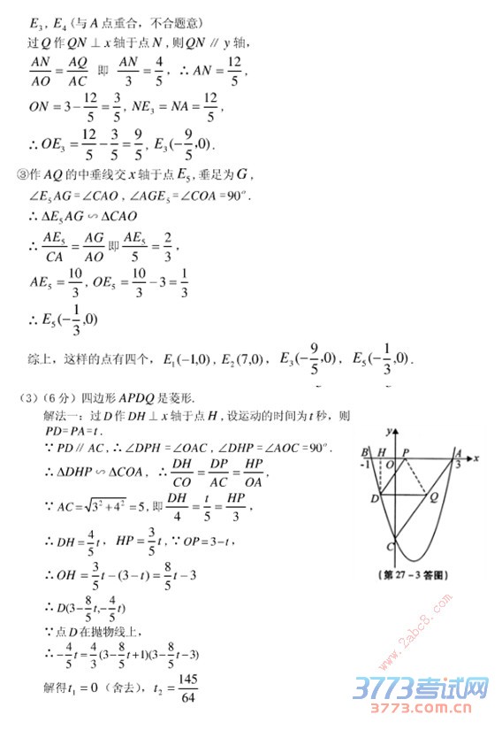
2015遵义中考数学答案 遵义市2015初中毕业生学业升学统一考试数学试题答案2015遵义中考数学答案 遵义市2015初中毕业生学业升学统一考试数学试题答案

2015遵义中考数学答案 遵义市2015初中毕业生学业升学统一考试数学试题答案

 

上一页  [1] [2] [3] [4] [5] 

触屏版 电脑版
3773考试网 琼ICP备12003406号-1