全国2010年1月高等教育自学考试
数据结构试题
课程代码:02331
一、单项选择题(本大题共15小题,每小题2分,共30分)
在每小题列出的四个备选项中只有一个是符合题目要求的,请将其代码填写在题后的括号内。错选、多选或未选均无分。
1.若一个算法的时间复杂度用T(n)表示,其中n的含义是( )
A.问题规模
B.语句条数
C.循环层数
D.函数数量
2.具有线性结构的数据结构是( )
A.树
B.图
C.栈和队列
D.广义表
3.将长度为n的单链表连接在长度为m的单链表之后,其算法的时间复杂度为( )
A.O(1)
B.O(m)
C.O(n)
D.O(m+n)
4.在带头结点的双向循环链表中插入一个新结点,需要修改的指针域数量是( )
A.2个
B.3个 .
C.4个
D.6个
5.假设以数组A[60]存放循环队列的元素,其头指针是front=47,当前队列有50个元素,则队列的尾指针值为( )
A.3
B.37
C.50
D.97
6.若栈采用链式存储结构,则下列说法中正确的是( )
A.需要判断栈满且需要判断栈空
B.不需要判断栈满但需要判断栈空
C.需要判断栈满但不需要判断栈空
D.不需要判断栈满也不需要判断栈空
7.若串str=”Software”,其子串的数目是( )
A.8
B.9
C.36
D.37
8.设有一个10阶的下三角矩阵A,采用行优先压缩存储方式,all为第一个元素,其存储地址为1000,每个元素占一个地址单元,则a85的地址为 ( )
A.1012
B.1017
C.1032
D.1039
9.允许结点共享的广义表称为( )
A.纯表
B.线性表
C.递归表
D.再入表
10.下列数据结构中,不属于二叉树的是( )
A.B树
B.AVL树
C.二叉排序树
D.哈夫曼树
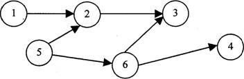
11.对下面有向图给出了四种可能的拓扑序列,其中错误的是( )
A.1,5,2,6,3,4
B.1,5,6,2,3,4
C.5,1,6,3,4,2
D.5,1,2,6,4,3
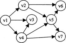
12.以v1为起始结点对下图进行深度优先遍历,正确的遍历序列是( )
A.v1,v2,v3,v4,v5,v6,v7
B.v1,v2,v5,v4,v3,v7,v6
C.v1,v2,v3,v4,v7,v5,v6
D.v1,v2,v5,v6,v7,v3,v4
13.下列排序算法中不稳定的是( )
A.快速排序
B.归并排序
C.冒泡排序
D.直接插入排序
14.一个有序表为(1,3,9,12,32,41,45,62,75,77,82,95,100),当采用折半查找方法查找值32时,查找成功需要的比较次数是( )
A.2
B.3
C.4
D.8
15.采用ISAM组织文件的方式属于( )
A.链组织
B.顺序组织
C.散列组织
D.索引组织