自考真题答案

3773考试网自学考试自考真题答案正文

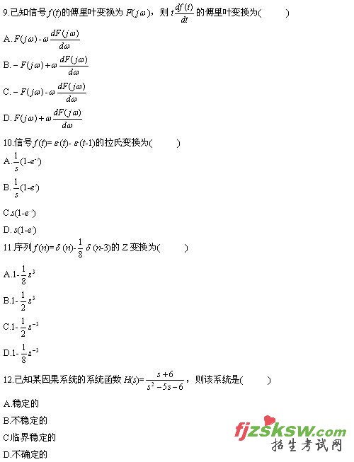
[组图]全国2010年4月自考信号与系统试题

来源:fjzsksw.com 2010-5-17 16:18:54

全国2010年4月高等教育自学考试
信号与系统试题
课程代码:02354

全国2010年4月高等教育自学考试信号与系统试题

全国2010年4月高等教育自学考试信号与系统试题

全国2010年4月高等教育自学考试信号与系统试题

全国2010年4月高等教育自学考试信号与系统试题

全国2010年4月高等教育自学考试信号与系统试题

全国2010年4月高等教育自学考试信号与系统试题

触屏版 电脑版
3773考试网 琼ICP备12003406号-1