浙江省2012年1月高等教育自学考试
药物化学试题
课程代码:03023
一、单项选择题(本大题共20小题,每小题2分,共40分)
在每小题列出的四个备选项中只有一个是符合题目要求的,请将其代码填写在题后的括号内。错选、多选或未选均无分。
1.根据化学结构,利多卡因属于哪类局麻药?( )
A.酯类
B.酰胺类
C.氨基酮类
D.氨基醚类
2.可鉴别苯巴比妥和异戊巴比妥的试剂是( )
A.硝酸银/氨水试液
B.三氯化铁试液
C.吡啶硫酸铜试液
D.亚硝酸钠/硫酸试液
3.安定的通用名是( )
A.奥沙西泮
B.艾司唑仑
C.地西泮
D.卡马西平
4.安乃近属于( )
A.吡唑酮类解热镇痛药
B.吡唑烷二酮类抗炎药
C.芳基烷酸类抗炎药
D.吡唑烷二酮类解热镇痛药
5.丙磺舒具有什么药理作用?( )
A.抗菌
B.抗痛风
C.解热镇痛
D.抗炎
6.下列哪个药物是胆碱酯酶复活剂?( )
A.毒扁豆碱
B.溴新斯的明
C.碘解磷定
D.氯贝胆碱
7.去甲肾上腺素药用的构型是( )
A.R(-)
B.1R,2S
C.1S,2R
D.S(+)
8.以下药物中不能与三氯化铁试液反应的是( )
A.麻黄碱
B.多巴酚丁胺
C.沙丁胺醇
D.去甲肾上腺素
9.哌唑嗪是( )
A.非选择性的α受体阻断剂
B.α1受体阻断剂
C.α2受体阻断剂
D.β1受体阻断剂 
11.乙酰唑胺是属于哪类利尿药?( )
A.碳酸酐酶抑制剂
B.Na+-K+-2Cl-同向转运抑制剂
C.Na+-Cl-同向转运抑制剂
D.肾小管上皮Na+通道抑制剂
12.以下哪个是胰岛素增敏剂?( )
A.甲苯磺丁脲
B.二甲双胍
C.格列本脲
D.胰岛素
13.属于三环类抗过敏药的是( )
A.曲吡那敏
B.西替利嗪
C.赛庚啶
D.阿司咪唑
14.含有呋喃结构的药物是( )
A.西咪替丁
B.雷尼替丁
C.法莫替丁
D.罗沙替丁乙酸酯
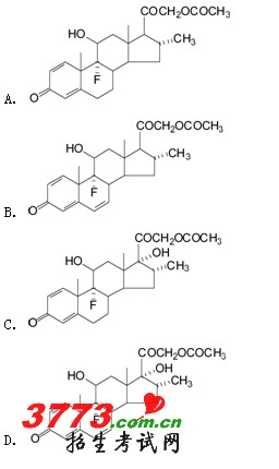
15.醋酸地塞米松的结构( )
16.用于抗疟的药物是( )
A.枸橼酸哌嗪
B.左旋咪唑
C.蒿甲醚
D.甲硝唑
17.属于氮芥类烷化剂的是( )
A.白消安
B.环磷酰胺
C.塞替哌
D.卡莫司汀
18.能发生重氮化-偶合反应的抗结核病药是( )
A.磺胺嘧啶
B.对氨基水杨酸钠
C.异烟肼
D.盐酸乙胺丁醇
19.具有季铵结构且味极苦的抗菌药是( )
A.盐酸小檗碱
B.呋喃妥因
C.呋喃唑酮
D.克霉唑
20.可能导致耳聋的抗生素是( )
A.头孢氨苄
B.链霉素
C.红霉素
D.多西环素
二、多项选择题(本大题共4小题,每小题2分,共8分)
在每小题列出的五个备选项中至少有两个是符合题目要求的,请将其代码填写在题后的括号内。错选、多选、少选或未选均无分。
1.以下哪几个药物中含有酰脲结构?( )
A.苯巴比妥
B.地西泮
C.苯妥英钠
D.氯丙嗪
E.卡马西平
2.吗啡被氧化后的产物有( )
A.阿朴吗啡
B.伪吗啡
C.双吗啡
D.N-氧化吗啡
E.N-去甲吗啡
3.卡托普利是( )
A.白色结晶,无臭无味
B.只有一个手性碳
C.含有羧基和巯基
D.血管紧张素转化酶抑制剂
E.抗高血压
4.炔雌醇可以与哪些试剂反应?( )
A.盐酸羟胺
B.硝酸银
C.三氯化铁
D.溴液
E.硫酸铜
三、填空题(本大题共6小题,每空1分,共12分)
请在每小题的空格中填上正确答案。错填、不填均无分。
1.阿司匹林水溶液加热水解后,加三氯化铁,颜色显______,因为三价铁离子与______基结合了。
2.盐酸哌替啶又名______,临床用于______。
3.钙通道阻滞剂可分为______、苯烷胺类和______。
4.诺氟沙星6位引入______,7位引入______,使其抗菌活性和抗菌谱得到提高和扩大。
5.头孢噻肟钠侧链引入甲氧肟基通常是______构型,使药物具有______作用特点。
6.维生素C分子中具有______结构,因而具有酸性和很强的还原性,它在水溶液中易被氧化剂氧化,生成______,在还原剂的作用下,可逆转为抗坏血酸。
四、名词解释(本大题共4小题,每小题3分,共12分)
1.软药原理
2.药效构象
3.镇静催眠药
4.生物烷化剂 