试题答案

3773考试网专升本考试试题答案正文

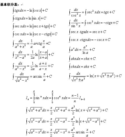
[图文]高等数学基本积分表

来源:福建招生考试网 2008-10-6 15:51:21

基本积分表

触屏版 电脑版
3773考试网 琼ICP备12003406号-1