试题答案

3773考试网专升本考试试题答案正文

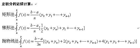
[图文]定积分的近似计算

来源:福建招生考试网 2008-10-6 15:57:23

定积分的近似计算

触屏版 电脑版
3773考试网 琼ICP备12003406号-1