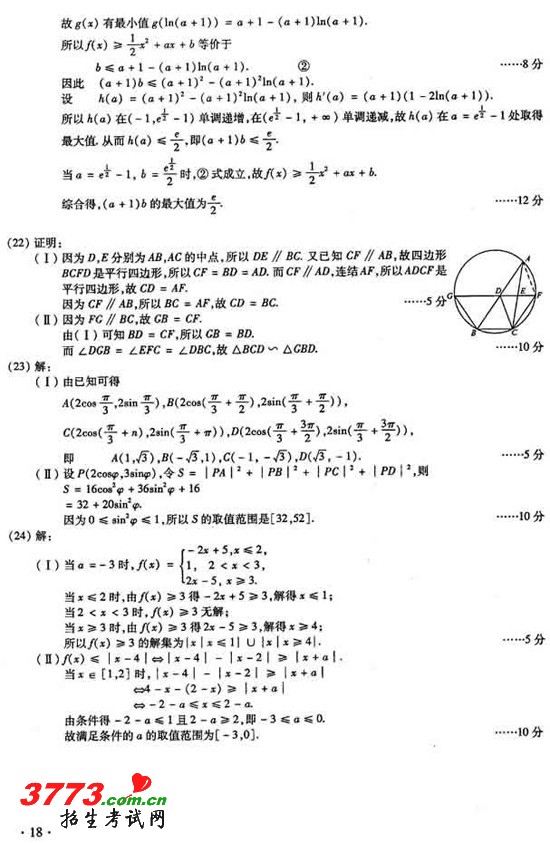
相关文章 2016河南小学教育全科教师专业招生工作的通知2016河南高招政策变化 新增专科提前批取消专科补2016河南高考加分项目照顾资格2016河南高考方案变化 网上填报志愿分3次进行2016河南高招重要信息要看准了2016河南高招工作规定公布 高考政策变化解读2016河南高考录取批次录取办法安排2016河南高考志愿设置及填报志愿时间安排2016河南高考时间安排 考试科目设置2016河南省普通高校招生工作规定 触屏版 电脑版 3773考试网 琼ICP备12003406号-1