河北高考

3773考试网2016高考河北高考正文

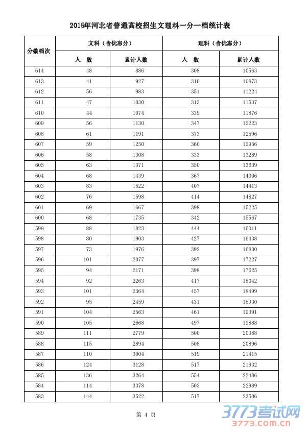
[组图]2015河北高考一分一档表(文理科含加分)

来源:河北教育考试院 2015-6-23 17:30:24

从河北教育考试院获悉,2015年河北省普通高校招生文理科一分一档统计表已公布,具体如下:

[1] [2] [3] [4] [5] [6] [7] [8] [9] 下一页

触屏版 电脑版
3773考试网 琼ICP备12003406号-1