河北高考

3773考试网2016高考河北高考正文

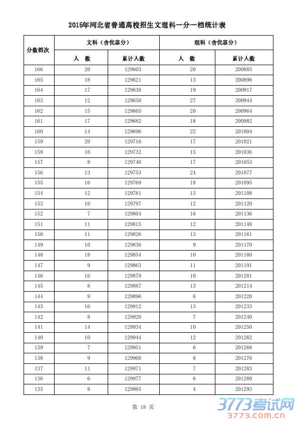
[组图]2015河北高考一分一档表(文理科含加分)

来源:河北教育考试院 2015-6-23 17:30:24

 

上一页  [1] [2] [3] [4] [5] [6] [7] [8] [9] 下一页

触屏版 电脑版
3773考试网 琼ICP备12003406号-1