高考数学

3773考试网2016高考高考数学正文

[组图]2009年高考最有可能考的20道数学文试题及答案(新课标卷)

来源:全品高考网 2009-5-27 22:20:11

2009年高考最有可能考的25道数学文题(新课标)
 

点击图片进入下一页
图11

点击图片进入下一页
图12

点击图片进入第一页
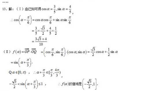
图13

点击图片进入第一页
图14

点击图片进入第一页
图15

点击图片进入第一页
图16

上一页  [1] [2] [3] [4] 

触屏版 电脑版
3773考试网 琼ICP备12003406号-1