高考数学

3773考试网2016高考高考数学正文

[组图]2009年高考最有可能考的理科数学试题及答案(大纲卷)

来源:全品高考网 2009-5-27 22:26:05

 

点击图片进入第一页
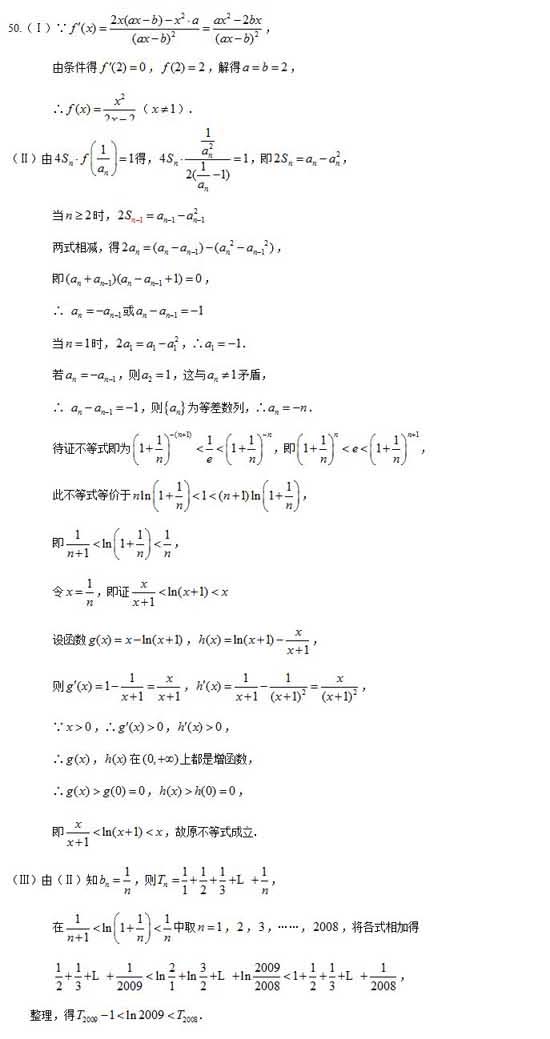
图16

点击图片进入第一页
图17

点击图片进入第一页
图18

上一页  [1] [2] [3] [4] [5] [6] 

触屏版 电脑版
3773考试网 琼ICP备12003406号-1