前言] 数学的开卷题虽不是难题,但确是“要题”。要者,必要也。拿下了此题,虽未必能制胜全局,但一旦被此题缠住了,则可能全军覆没。
此题设计,要求“易”而“活”,“新”而“基”。在考生看来,应是:(1)似曾相识,(2)不曾有识,(3)现在可识。笔者按此要求拟出如下例题,意在与考场相遇,与考生相约。
若考生临场后,对开卷题没有以上“三识”(似识,未识,可识)之感,且与以下五种类型偏离太远,则建议考生暂时绕道,不要被它缠住了。
四、考查基本技能,如以极限为形式,以运算法则为工具,渗透数学转换思想.

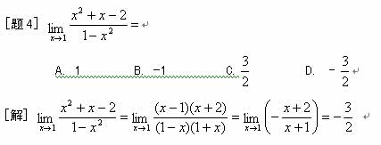
[答] D
[评] 将题设中的代数式变繁或变简,题目的难易将随之变化。
[注] 本题考察的是考生的基本技能,内容为高考数学考纲第十二考章之极限内容。好的题目构思,是可以因为设置的不同,题目的难易程度亦随之发生变化,本题当如是。
距离2005年高考仅仅十余天,这段时间,已经不允许一步一个脚印式的复习方式,此时的我们,需要剑走轻灵,要巧。何谓巧?即是要花最少的时间得到最多收获。
由具有30年教育经验的阶梯公司(www.ladder100.com.cn)和中国电信联手打造的高考神舟(www.14906.net/G/home.jsp),针对现阶段高考复习特点,特遴请具有丰富高考命题经验的特级教师为广大考生做出五月最后押题卷,以冀起到四两拨千斤的效果。
本押题系列将分五次刊出,力求精准。如果您都全部学习完毕,相信在高考考场会更加自信!
更多精准押题,请莅高考神舟网站www.14906.net/G/home.jsp实战演练/考场联盟栏目之五月命题卷