真题答案

3773考试网2017考研真题答案正文

[图文]2010年考研真题数学三选择题与填空题答案

来源:跨考网 2010-1-10 12:46:19

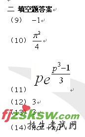
 选择题答案

(1)     C

(2)     A

(3)     B

(4)     C

(5)     A

(6)     D

(7)     C

(8)     A

 

触屏版 电脑版
3773考试网 琼ICP备12003406号-1