真题答案

3773考试网2017考研真题答案正文

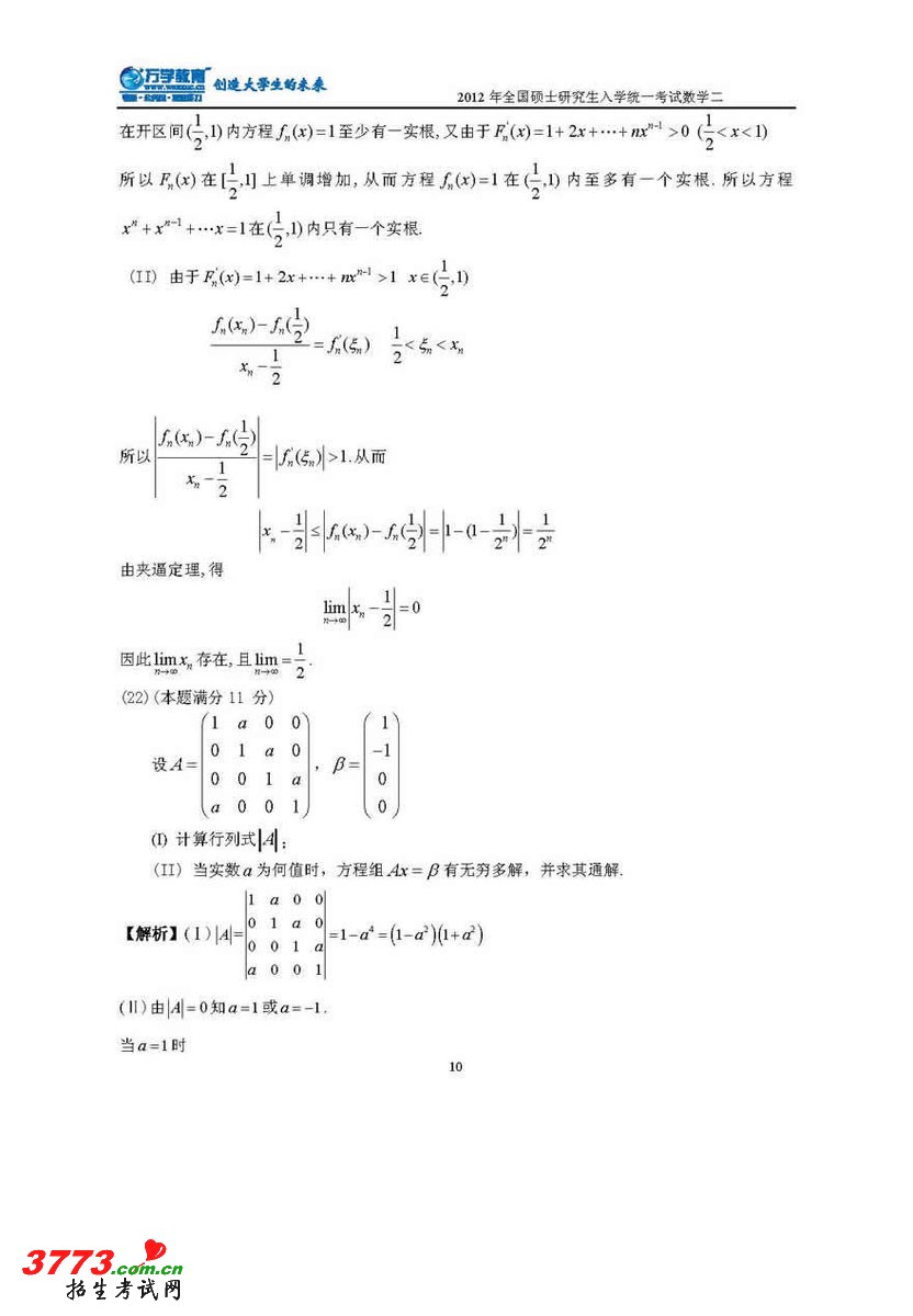
[组图]2012研究生考试数学二答案解析

来源:2exam.com 2012-1-8 20:10:27



2012全国硕士研究生入学考试数学二答案解析

上一页  [1] [2] [3] [4] [5] [6] [7] [8] [9] [10]  ... 下一页  >> 

触屏版 电脑版
3773考试网 琼ICP备12003406号-1