2015考研数学三真题试卷(完整版)
2015考研数学三真题及答案完整图片版
2015考研数学三答案完整版 地址:http://www.2exam.com/kaoyan/kysxd/1477525.shtml





答案
一、选择题:1~8小题,每小题4分,共32分,下列每小题给出的四个选项中,只有一项符合题目要求的,请将所选项前的字母填在答题纸指定位置上.



6.B
二、填空题(9~14小题,每小题4分,共24分.请将答案写在答题纸指定位置上).



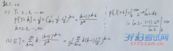
三、解答题:15—23小题,共94分.请将解答写在答题纸指定位置上.解答应写出文字说明、证明过程或演算步骤.












2015考研数学三答案完整版 地址:http://www.2exam.com/kaoyan/kysxd/1477525.shtml