考研数学

3773考试网2017考研考研数学正文

[组图]2015考研数学三答案完整版

来源:3773考研网 2014-12-28 13:38:31

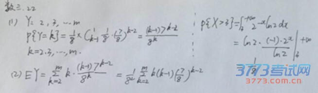
2015考研数学三答案完整版
2015考研数学三答案(网络版)2015考研数学三答案(网络版)
2015考研数学三答案(网络版)2015考研数学三答案(网络版)2015考研数学三答案(网络版)2015考研数学三答案(网络版) 
 

上一页  [1] [2] [3] [4] 

触屏版 电脑版
3773考试网 琼ICP备12003406号-1