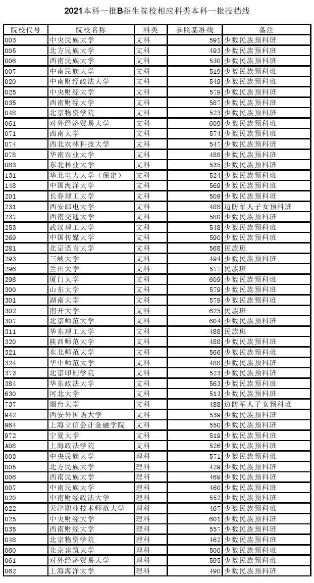
2021内蒙古本科一批B招生院校相应科类本科一批投档线



院校代号
院校名称
科类
参照基准线
备注
003
中央民族大学
文科
591
少数民族预科班
005
北方民族大学
文科
493
少数民族预科班
006
西南民族大学
文科
530
少数民族预科班
007
中南民族大学
文科
519
少数民族预科班
020
中南财经政法大学
文科
549
少数民族预科班
025
中央财经大学
文科
579
少数民族预科班
035
西南财经大学
文科
587
少数民族预科班
048
北京物资学院
文科
523
少数民族预科班
061
对外经济贸易大学
文科
609
少数民族预科班
071
西南大学
文科
574
少数民族预科班
074
西北农林科技大学
文科
547
少数民族预科班
078
华南农业大学
文科
488
少数民族预科班
083
东北林业大学
文科
535
少数民族预科班
131
华北电力大学(保定)
文科
524
少数民族预科班
148
中国海洋大学
文科
569
少数民族预科班
201
长春理工大学
文科
509
少数民族预科班
231
西安邮电大学
文科
488
边防军人子女预科班
237
西南交通大学
文科
580
少数民族预科班
253
武汉理工大学
文科
548
少数民族预科班
269
中国传媒大学
文科
590
少数民族预科班
281
北京语言大学
文科
568
民族班
293
三峡大学
文科
494
少数民族预科班
296
兰州大学
文科
577
民族班
298
厦门大学
文科
609
少数民族预科班
300
山东大学
文科
579
少数民族预科班
301
湖南大学
文科
579
少数民族预科班
302
南开大学
文科
625
民族班
307
北京师范大学
文科
604
少数民族预科班
311
华东理工大学
文科
488
民族班
320
陕西师范大学
文科
488
少数民族预科班
321
东北师范大学
文科
566
少数民族预科班
324
华中师范大学
文科
488
少数民族预科班
373
北京印刷学院
文科
523
少数民族预科班
384
华东政法大学
文科
563
少数民族预科班
630
河北大学
文科
513
少数民族预科班
737
烟台大学
文科
488
边防军人子女预科班
942
西安外国语大学
文科
539
少数民族预科班
964
上海立信会计金融学院
文科
550
少数民族预科班
972
宁夏大学
文科
519
少数民族预科班
A08
上海政法学院
文科
526
少数民族预科班
003
中央民族大学
理科
571
少数民族预科班
005
北方民族大学
理科
429
少数民族预科班
006
西南民族大学
理科
469
少数民族预科班
007
中南民族大学
理科
460
少数民族预科班
020
中南财经政法大学
理科
552
少数民族预科班
022
天津职业技术师范大学
理科
467
少数民族预科班
025
中央财经大学
理科
601
少数民族预科班
035
西南财经大学
理科
557
少数民族预科班
048
北京物资学院
理科
462
少数民族预科班
060
北京建筑大学
理科
500
少数民族预科班
061
对外经济贸易大学
理科
595
少数民族预科班
062
上海海洋大学
理科
490
少数民族预科班
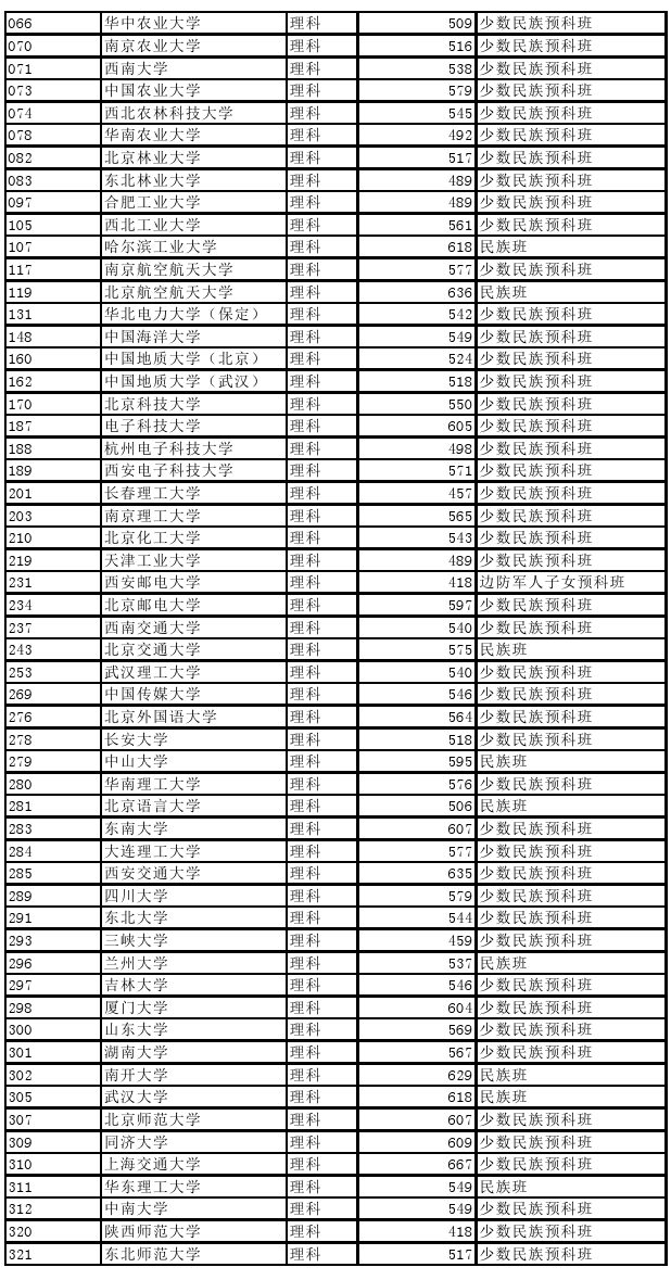
2021本科一批B招生院校相应科类本科一批投档线
066
华中农业大学
理科
509
少数民族预科班
070
南京农业大学
理科
516
少数民族预科班
071
西南大学
理科
538
少数民族预科班
073
中国农业大学
理科
579
少数民族预科班
074
西北农林科技大学
理科
545
少数民族预科班
078
华南农业大学
理科
492
少数民族预科班
082
北京林业大学
理科
517
少数民族预科班
083
东北林业大学
理科
489
少数民族预科班
097
合肥工业大学
理科
489
少数民族预科班
105
西北工业大学
理科
561
少数民族预科班
107
哈尔滨工业大学
理科
618
民族班
117
南京航空航天大学
理科
577
少数民族预科班
119
北京航空航天大学
理科
636
民族班
131
华北电力大学(保定)
理科
542
少数民族预科班
148
中国海洋大学
理科
549
少数民族预科班
160
中国地质大学(北京)
理科
524
少数民族预科班
162
中国地质大学(武汉)
理科
518
少数民族预科班
170
北京科技大学
理科
550
少数民族预科班
187
电子科技大学
理科
605
少数民族预科班
188
杭州电子科技大学
理科
498
少数民族预科班
189
西安电子科技大学
理科
571
少数民族预科班
201
长春理工大学
理科
457
少数民族预科班
203
南京理工大学
理科
565
少数民族预科班
210
北京化工大学
理科
543
少数民族预科班
219
天津工业大学
理科
489
少数民族预科班
231
西安邮电大学
理科
418
边防军人子女预科班
234
北京邮电大学
理科
597
少数民族预科班
237
西南交通大学
理科
540
少数民族预科班
243
北京交通大学
理科
575
民族班
253
武汉理工大学
理科
540
少数民族预科班
269
中国传媒大学
理科
546
少数民族预科班
276
北京外国语大学
理科
564
少数民族预科班
278
长安大学
理科
518
少数民族预科班
279
中山大学
理科
595
民族班
280
华南理工大学
理科
576
少数民族预科班
281
北京语言大学
理科
506
民族班
283
东南大学
理科
607
少数民族预科班
284
大连理工大学
理科
577
少数民族预科班
285
西安交通大学
理科
635
少数民族预科班
289
四川大学
理科
579
少数民族预科班
291
东北大学
理科
544
少数民族预科班
293
三峡大学
理科
459
少数民族预科班
296
兰州大学
理科
537
民族班
297
吉林大学
理科
546
少数民族预科班
298
厦门大学
理科
604
少数民族预科班
300
山东大学
理科
569
少数民族预科班
301
湖南大学
理科
567
少数民族预科班
302
南开大学
理科
629
民族班
305
武汉大学
理科
618
民族班
307
北京师范大学
理科
607
少数民族预科班
309
同济大学
理科
609
少数民族预科班
310
上海交通大学
理科
667
少数民族预科班
311
华东理工大学
理科
549
民族班
312
中南大学
理科
549
少数民族预科班
320
陕西师范大学
理科
418
少数民族预科班
321
东北师范大学
理科
517
少数民族预科班
324
华中师范大学
理科
561
少数民族预科班
328
华中科技大学
理科
609
民族班
357
南京信息工程大学
理科
511
定向
373
北京印刷学院
理科
461
少数民族预科班
384
华东政法大学
理科
542
少数民族预科班
390
中国药科大学
理科
549
少数民族预科班
399
北京中医药大学
理科
548
少数民族预科班
410
哈尔滨工程大学
理科
519
少数民族预科班
435
中国石油大学(北京)
理科
519
少数民族预科班
439
中国石油大学(华东)
理科
517
民族班
559
天津理工大学
理科
459
少数民族预科班
564
天津中医药大学
理科
481
少数民族预科班
630
河北大学
理科
464
少数民族预科班
737
烟台大学
理科
418
边防军人子女预科班
931
福州大学
理科
519
少数民族预科班
942
西安外国语大学
理科
498
少数民族预科班
964
上海立信会计金融学院
理科
491
少数民族预科班
972
宁夏大学
理科
487
少数民族预科班
A08
上海政法学院
理科
497
少数民族预科班
L65
中南民族大学
理科
460
少数民族预科班
L75
中国地质大学(北京)
理科
524
民族班
